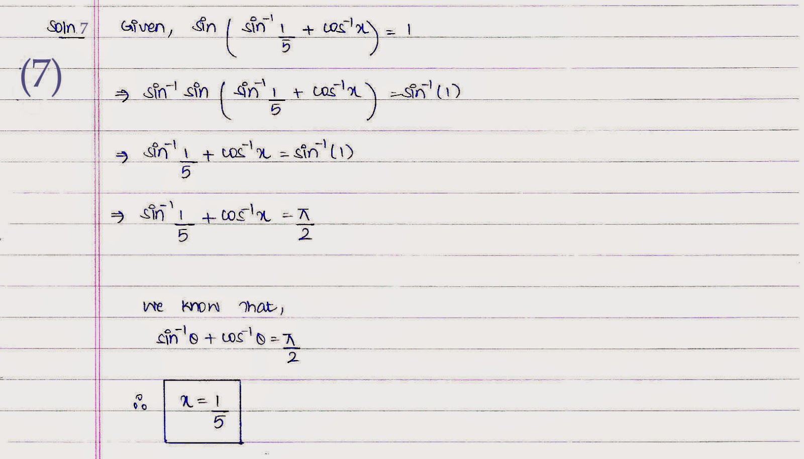
SOLUTION Class XII Mathematics Board Paper SET-2 Section A 20 March 2014 Get link Facebook X Pinterest Email Other Apps March 22, 2014 SOLUTION Class XII Mathematics Board Paper SET-2 Section A 20 March 2014 Question 1Solution 1 Question 2 Solution 2 Question 3 Solution 3 Question 4 Solution 4 Question 5 Solution 5 Question 6 Solution 6 Question 7 Solution 7 Question 8 Solution 8 Question 9 Solution 9 Question 10 Solution 10 Don't forget Get link Facebook X Pinterest Email Other Apps Comments
ROMAN NUMERALS 201 TO 300 May 21, 2015 ROMAN NUMERALS 201 TO 300 Share with your FRIENDS DON'T FORGET TO Read more
ROMAN NUMERALS 401 TO 500 May 21, 2015 ROMAN NUMERALS 401 TO 500 Share with your FRIENDS DON'T FORGET TO Read more
Comments
Post a Comment
Thanks for showing your interest/feedback.