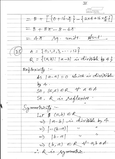
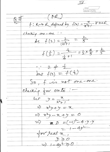
Class XII Mathematics DELHI CBSE BOARD PAPER SET – 3 Solutions Get link Facebook X Pinterest Email Other Apps March 21, 2018 Class XII MATHEMATICS DELHI CBSE BOARD QUESTION PAPER SET – 3 SOLUTION SECTION A SECTION B SECTION C SECTION D Get link Facebook X Pinterest Email Other Apps Comments
ROMAN NUMERALS 201 TO 300 May 21, 2015 ROMAN NUMERALS 201 TO 300 Share with your FRIENDS DON'T FORGET TO Read more
ROMAN NUMERALS 301 TO 400 May 21, 2015 ROMAN NUMERALS 301 TO 400 Share with your FRIENDS DON'T FORGET TO Read more
Comments
Post a Comment
Thanks for showing your interest/feedback.